Revisiting Whittaker-Henderson Smoothing

R-CMD-check

What is Whittaker-Henderson smoothing ?

Origin

Whittaker-Henderson (WH) smoothing is a graduation method designed to mitigate the effects of sampling fluctuations in a vector of evenly spaced discrete observations. Although this method was originally proposed by Bohlmann (1899), it is named after Whittaker (1923), who applied it to graduate mortality tables, and Henderson (1924), who popularized it among actuaries in the United States. The method was later extended to two dimensions by Knorr (1984). WH smoothing may be used to build experience tables for a broad spectrum of life insurance risks, such as mortality, disability, long-term care, lapse, mortgage default and unemployment.

The one-dimensional case

Let \(\mathbf{y}\) be a vector of observations and \(\mathbf{w}\) a vector of positive weights, both of size \(n\). The estimator associated with Whittaker-Henderson smoothing is given by:

\[ \hat{\mathbf{y}} = \underset{\boldsymbol{\theta}}{\text{argmin}}\{F(\mathbf{y},\mathbf{w},\boldsymbol{\theta}) + R_{\lambda,q}(\boldsymbol{\theta})\} \]

where:

In the latter expression, \(\lambda \ge 0\) is a smoothing parameter and \(\Delta^q\) denotes the forward difference operator of order \(q\), such that for any \(i\in\{1,\dots,n - q\}\):

\[ (\Delta^q\boldsymbol{\theta})_i = \underset{k = 0}{\overset{q}{\sum}} \begin{pmatrix}q \\ k\end{pmatrix}(- 1)^{q - k} \theta_{i + k}. \]

Define \(W = \text{Diag}(\mathbf{w})\), the diagonal matrix of weights, and \(D_{n,q}\) as the order \(q\) difference matrix of dimensions \((n-q) \times n\), such that \((D_{n,q}\boldsymbol{\theta})_i = (\Delta^q\boldsymbol{\theta})_i\) for all \(i \in [1, n-q]\). The first- and second-order difference matrices are given by:

\[ D_{n,1} = \begin{bmatrix} -1 & 1 & 0 & \ldots & 0 \\ 0 & -1 & 1 & \ldots & 0 \\ \vdots & \vdots & \vdots & \ddots & \vdots \\ 0 & \ldots & 0 & -1 & 1 \\ \end{bmatrix} \quad\text{and}\quad D_{n,2} = \begin{bmatrix} 1 & -2 & 1 & 0 & \ldots & 0 \\ 0 & 1 & -2 & 1 & \ldots & 0 \\ \vdots & \vdots & \vdots & \vdots & \ddots & \vdots \\ 0 & \ldots & 0 & 1 & -2 & 1 \\ \end{bmatrix}. \]

while higher-order difference matrices follow the recursive formula \(D_{n,q} = D_{n - 1,q - 1}D_{n,1}\). The fidelity and smoothness criteria can be rewritten with matrix notations as:

\[ F(\mathbf{y},\mathbf{w},\boldsymbol{\theta}) = (\mathbf{y} - \boldsymbol{\theta})^TW(\mathbf{y} - \boldsymbol{\theta}) \quad \text{and} \quad R_{\lambda,q}(\boldsymbol{\theta}) = \lambda\boldsymbol{\theta}^TD_{n,q}^TD_{n,q}\boldsymbol{\theta} \]

and the WH smoothing estimator thus becomes:

\[ \hat{\mathbf{y}} = \underset{\boldsymbol{\theta}}{\text{argmin}} \left\lbrace(\mathbf{y} - \boldsymbol{\theta})^TW(\mathbf{y} - \boldsymbol{\theta}) + \boldsymbol{\theta}^TP_{\lambda}\boldsymbol{\theta}\right\rbrace \]

where \(P_{\lambda} = \lambda D_{n,q}^TD_{n,q}\).

The two-dimensional case

In the two-dimensional case, consider a matrix \(Y\) of observations and a matrix \(\Omega\) of non-negative weights, both of dimensions \(n_x \times n_z\). The WH smoothing estimator solves:

\[ \widehat{Y} = \underset{\Theta}{\text{argmin}}\{F(Y,\Omega, \Theta) + R_{\lambda,q}(\Theta)\} \]

where:

This latter criterion adds row-wise and column regularization criteria to \(\Theta\), with respective orders \(q_x\) and \(q_z\), weighted by non-negative smoothing parameters \(\lambda_x\) and \(\lambda_z\). In matrix notation, let \(\mathbf{y} = \textbf{vec}(Y)\), \(\mathbf{w} = \textbf{vec}(\Omega)\), and \(\boldsymbol{\theta} = \textbf{vec}(\Theta)\) as the vectors obtained by stacking the columns of the matrices \(Y\), \(\Omega\), and \(\Theta\), respectively. Additionally, denote \(W = \text{Diag}(\mathbf{w})\) and \(n = n_x \times n_z\). The fidelity and smoothness criteria become:

\[ \begin{aligned} F(\mathbf{y},\mathbf{w}, \boldsymbol{\theta}) &= (\mathbf{y} - \boldsymbol{\theta})^TW(\mathbf{y} - \boldsymbol{\theta}) \\ R_{\lambda,q}(\boldsymbol{\theta}) &= \boldsymbol{\theta}^{T}(\lambda_x I_{n_z} \otimes D_{n_x,q_x}^{T}D_{n_x,q_x} + \lambda_z D_{n_z,q_z}^{T}D_{n_z,q_z} \otimes I_{n_x}) \boldsymbol{\theta}. \end{aligned} \]

and the associated estimator takes the same form as in the one-dimensional case except

\[P_{\lambda} = \lambda_x I_{n_z} \otimes D_{n_x,q_x}^{T}D_{n_x,q_x} + \lambda_z D_{n_z,q_z}^{T}D_{n_z,q_z} \otimes I_{n_x}.\]

An explicit solution

If \(W + P_{\lambda}\) is invertible, the WH smoothing equation admits the closed-form solution:

\[\hat{\mathbf{y}} = (W + P_{\lambda})^{-1}W\mathbf{y}.\]

Indeed, as a minimum, \(\hat{\mathbf{y}}\) satisfies:

\[0 = \left.\frac{\partial}{\partial \boldsymbol{\theta}}\right|_{\hat{\mathbf{y}}}\left\lbrace(\mathbf{y} - \boldsymbol{\theta})^{T}W(\mathbf{y} - \boldsymbol{\theta}) + \boldsymbol{\theta}^{T}P_{\lambda}\boldsymbol{\theta}\right\rbrace = - 2 W(y - \hat{\mathbf{y}}) +2P_{\lambda} \hat{\mathbf{y}}.\]

It follows that \((W + P_{\lambda})\hat{\mathbf{y}} = W\mathbf{y}\), proving the above result. If \(\lambda \neq 0\), \(W + P_{\lambda}\) is invertible as long as \(\mathbf{w}\) has \(q\) non-zero elements in the one-dimensional case, and \(\Omega\) has at least \(q_x \times q_z\) non-zero elements spread across \(q_x\) different rows and \(q_z\) different columns in the two-dimensional case. These conditions are always met in real datasets.

How to use the package?

The WH package features a unique main function WH. Two arguments are mandatory for this function:

Additional arguments may be supplied, whose description is given in the documentation of the functions.

The package also embed two fictive agregated datasets to illustrate how to use it:

# One-dimensional case
WH_1d_fit <- WH(portfolio_mort$d, portfolio_mort$ec)
Outer procedure completed in 14 iterations, smoothing parameters: 9327, final LAML: 32.1
# Two-dimensional case
WH_2d_fit <- WH(portfolio_LTC$d, portfolio_LTC$ec)
Outer procedure completed in 63 iterations, smoothing parameters: 1211.41,    1.09, final LAML: 276

Function WH outputs objects of class "WH_1d" and "WH_2d" to which additional functions (including generic S3 methods) may be applied:

WH_1d_fit
An object fitted using the WH function
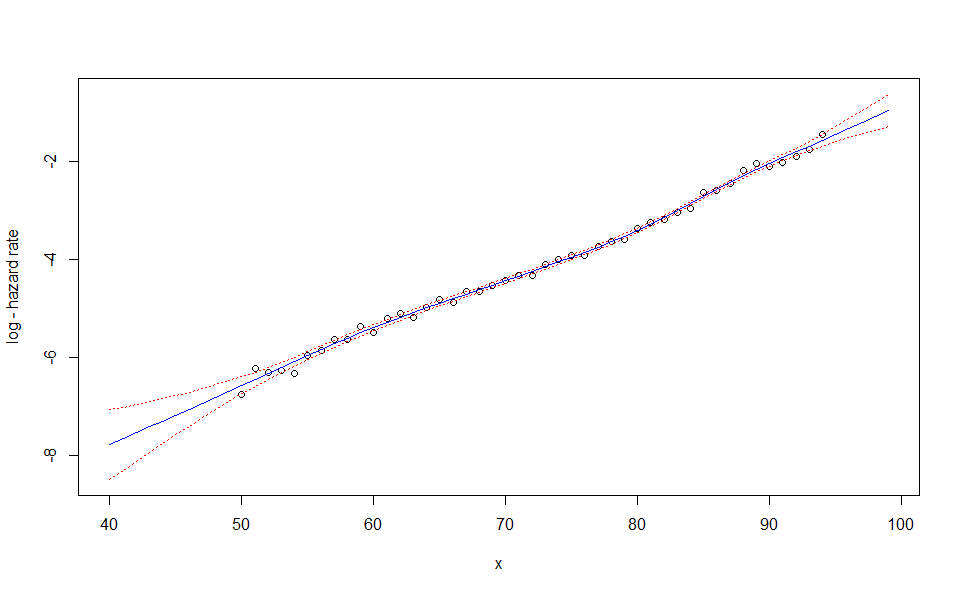
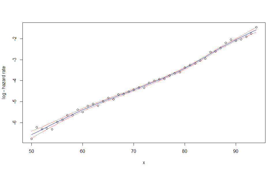
Initial data contains 45 data points:
  Observation positions:  50  to  94 
Smoothing parameter selected: 9327 
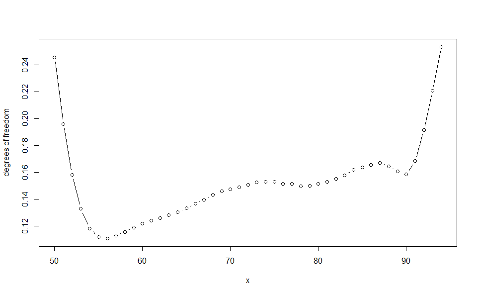
Associated degrees of freedom: 6.8 
WH_2d_fit
An object fitted using the WH function
Initial data contains 450 data points:
  First dimension:  70  to  99 
  Second dimension:  0  to  14 
Smoothing parameters selected: 1211.4    1.1 
Associated degrees of freedom: 47 
plot(WH_1d_fit)

plot(WH_1d_fit, "res")

plot(WH_1d_fit, "edf")


plot(WH_2d_fit)

plot(WH_2d_fit, "std_y_hat")

WH_1d_fit |> predict(newdata = 40:99) |> plot()

WH_2d_fit |> predict(newdata = list(age = 60:109, duration = 0:19)) |> plot()

WH_1d_df <- WH_1d_fit |> output_to_df()
WH_2d_df <- WH_2d_fit |> output_to_df()

Further WH smoothing theory

See the upcoming paper available here

References

Bohlmann, Georg. 1899. “Ein Ausgleichungsproblem.” Nachrichten von Der Gesellschaft Der Wissenschaften Zu Göttingen, Mathematisch-Physikalische Klasse 1899: 260–71.
Carballo, Alba, Maria Durban, and Dae-Jin Lee. 2021. “Out-of-Sample Prediction in Multidimensional p-Spline Models.” Mathematics 9 (15): 1761.
Henderson, Robert. 1924. “A New Method of Graduation.” Transactions of the Actuarial Society of America 25: 29–40.
Knorr, Frank E. 1984. “Multidimensional Whittaker-Henderson Graduation.” Transactions of Society of Actuaries 36: 213–55.
Whittaker, Edmund Taylor. 1923. “On a New Method of Graduation.” Proceedings of the Edinburgh Mathematical Society 41: 63–75.