Web: https://mpru.github.io/ggcleveland/
El libro Visualizing Data de William S. Cleveland es una
pieza clásica en la literatura sobre Análisis Exploratorio de Datos
(AED). Habiendo sido escrito algunas décadas atrás, su contenido sigue
siendo relevante ya que propone herramientas útiles para descubrir
patrones y relaciones en los datos estudiados, como así también para
evaluar ajustes. Este paquete ofrece funciones que producen la versión
en ggplot2 de las herramientas de visualización descriptas
en este libro. Fue diseñado como material complementario en cursos sobre
AED.
William S. Cleveland’s book ‘Visualizing Data’ is a classic piece of literature on Exploratory Data Analysis (EDA). Although it was written several decades ago, its content is still relevant as it proposes several tools which are useful to discover patterns and relationships among the data under study, and also to assess the goodness of fit o a model. This package provides functions to produce the ggplot2 versions of the visualization tools described in this book and is thought to be used in the context of courses on EDA.
Se puede instalar la versión en desarrollo del paquete
ggcleveland desde GitHub con:
# install.packages("devtools")
devtools::install_github("mpru/ggcleveland")Podés ver ejemplos de cada una de los gráficos producidos con este paquete en las viñetas. Algunos de ellos son:
You can explore examples of each of the plots produced by this package in the vignettes. Some of them are:
Gráficos condicionales / Coplots:
library(ggcleveland)
library(dplyr)
library(ggplot2)
theme_set(theme_bw() + theme(panel.spacing = unit(0, "lines")))
data(rubber)
gg_coplot(rubber, x = tensile.strength, y = abrasion.loss, faceting = hardness,
number_bins = 6, overlap = 3/4,
ylabel = "Pérdida de abrasión (g/hp-hour))",
xlabel = "Resistencia a la tracción (kg/cm2)",
facet_label = "Dureza (grados Shore)",
loess_family = "symmetric", size = 2)
Residual-Fit plots:
data(futbol)
futbol <-
futbol %>%
group_by(longp) %>%
mutate(ajuste = mean(dist), res = dist - ajuste)
gg_rf(futbol, dist, ajuste, res, cen_obs = TRUE, ylabel = "Distancia (m)")
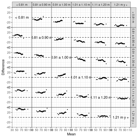
Gráfico Media-Diferencia de Tukey / Tukey’s MD Plot:
gg_tmd(futbol, dist, longp, size = 0.5)