mcgibbsit

CRAN status Lifecycle: stable

Implementation of Warnes & Raftery’s MCGibbsit run-length diagnostic for a set of (not-necessarily independent) Markov Chain Monte Carlo (MCMC) samplers.

It combines the estimate error-bounding approach of the Raftery and Lewis MCMC run length diagnostic (gibbsit) with the between verses within chain approach of the Gelman and Rubin MCMC convergence diagnostic.

Installation

Install the most recent release from CRAN:

install.packages("mcgibbsit")

Or the current development version from github:

if(!require("remotes"))
  install.packages("remotes")
  
remotes::install_github('r-gregmisc/mcgibbsit')
library(mcgibbsit)
#> Loading required package: coda

set.seed(42)        # for reproducibility
tmpdir <- tempdir()

The mcgibbsit package provides an implementation of Warnes & Raftery’s MCGibbsit run-length diagnostic for a set of (not-necessarily independent) MCMC samplers. It combines the estimate error-bounding approach of Raftery and Lewis with the between chain variance verses within chain variance approach of Gelman and Rubin.

mcgibbsit computes the minimum run length \(N_{min}\), required burn in \(M\), total run length \(N\), run length inflation due to auto-correlation, \(I\), and the run length inflation due to between-chain correlation, \(R\) for a set of exchangeable MCMC simulations which need not be independent.

The normal usage is to perform an initial MCMC run of some pre-determined length (e.g. 300 iterations) for each of a set of \(k\) (e.g. 20) MCMC samplers. The output from these samplers is then read in to create an mcmc.list object and mcgibbsit is run specifying the desired accuracy of estimation for quantiles of interest. This will return the minimum number of iterations to achieve the specified error bound. The set of MCMC samplers is now run so that the total number of iterations exceeds this minimum, and mcgibbsit is again called. This should continue until the number of iterations already complete is less than the minimum number computed by mcgibbsit.

If the initial number of iterations in data is too small to perform the calculations, an error message is printed indicating the minimum pilot run length.

Example

This basic example constructs a dummy set of files from an imaginary MCMC sampler and shows the results of running mcgibbsit with the default settings.

# Define a function to generate the output of our imaginary MCMC sampler
gen_samples <- function(run_id, nsamples=200)
{
  x <- matrix(nrow = nsamples+1, ncol=4)
  colnames(x) <- c("alpha","beta","gamma", "nu")
  
  x[,"alpha"] <- exp(rnorm (nsamples+1, mean=0.025, sd=0.025))
  x[,"beta"]  <- rnorm (nsamples+1, mean=53,    sd=14)
  x[,"gamma"] <- rbinom(nsamples+1, 20,         p=0.15) + 1
  x[,"nu"]    <- rnorm (nsamples+1, mean=x[,"alpha"] * x[,"beta"], sd=1/x[,"gamma"])
#'
  # induce serial correlation of 0.25
  x <- 0.75 * x[2:(nsamples+1),] + 0.25 * x[1:nsamples,]

  # induce ~50% acceptance rate
  accept <- runif(nsamples) > 0.50
  for(i in 2:nsamples)
    if(!accept[i]) x[i,] <- x[i-1,]

  write.table(
    x,
    file = file.path(
      tmpdir,
      paste("mcmc", run_id, "csv", sep=".")
      ),
    sep = ",",
    row.names = FALSE
  )
}

First, we’ll generate and load only a 3 runs of length 200:

# Generate and load 3 runs 
for(i in 1:3)
  gen_samples(i, 200)
  
mcmc.3 <- read.mcmc(
  3, 
  file.path(tmpdir, "mcmc.#.csv"), 
  sep=",",
  col.names=c("alpha","beta","gamma", "nu")
  )
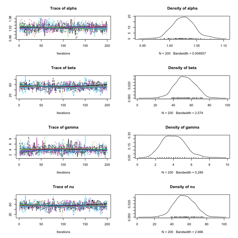
# Trace and Density Plots
plot(mcmc.3)

Now run mcgibbsit to determine the necessary total number of MCMC samples to to provide accurate 95% posterior confidence region estimates for all four of the parameters:

# And check the necessary run length 
mcg.3 <- mcgibbsit(mcmc.3)
print(mcg.3)
#>                   Multi-Chain Gibbsit 
#>                   ------------------- 
#> 
#> Call             = mcgibbsit(data = mcmc.3)
#> 
#> Number of Chains = 3 
#> Per-Chain Length = 200 
#> Total Length     = 600 
#> 
#> Quantile (q)     = 0.025 
#> Accuracy (r)     = +/- 0.0125 
#> Probability (s)  = 0.95 
#> 
#>                                                                         
#>       Burn-in  Estimation Total Lower bound  Auto-Corr. Between-Chain   
#>       (M)      (N)        (M+N) (Nmin)       factor (I) Corr. factor (R)
#>                                                                         
#> alpha 24       1301       1325  600          2.28       0.955           
#> beta  33       1830       1863  600          3.22       0.951           
#> gamma 27       1932       1959  600          2.74       1.180           
#> nu    33       1849       1882  600          3.22       0.961           
#>       -----    -----      ----- -----        -----      -----           
#>       33       1932       1959  600                                     
#> 
#> NOTE: The values for M, N, and Total are combined numbers of iterations 
#>       based on using 3 chains.

The results from mcgibbsit indicate that the required number of samples is 1,959, which is less than we’ve generated so far.

Lets generate 7 more runs, each of length 200, for a total of 2,000 samples:

# Generate and load 7 more runs 
for(i in 3 + (1:7))
  gen_samples(i, 200)
  
mcmc.10 <- read.mcmc(
  10, 
  file.path(tmpdir, "mcmc.#.csv"), 
  sep=",",
  col.names=c("alpha","beta","gamma", "nu")
  )
# Trace and Density Plots
plot(mcmc.10)

Now run mcgibbsit to determine the necessary number of MCMC samples:

# And check the necessary run length 
mcg.10 <- mcgibbsit(mcmc.10)
print(mcg.10)
#>                   Multi-Chain Gibbsit 
#>                   ------------------- 
#> 
#> Call             = mcgibbsit(data = mcmc.10)
#> 
#> Number of Chains = 10 
#> Per-Chain Length = 200 
#> Total Length     = 2000 
#> 
#> Quantile (q)     = 0.025 
#> Accuracy (r)     = +/- 0.0125 
#> Probability (s)  = 0.95 
#> 
#>                                                                         
#>       Burn-in  Estimation Total Lower bound  Auto-Corr. Between-Chain   
#>       (M)      (N)        (M+N) (Nmin)       factor (I) Corr. factor (R)
#>                                                                         
#> alpha 90       1534       1624  600          2.76       0.933           
#> beta  110      1743       1853  600          3.11       0.940           
#> gamma 90       1820       1910  600          3.19       0.955           
#> nu    100      1569       1669  600          2.79       0.942           
#>       -----    -----      ----- -----        -----      -----           
#>       110      1820       1910  600                                     
#> 
#> NOTE: The values for M, N, and Total are combined numbers of iterations 
#>       based on using 10 chains.

mcgibbsit now estimates that a total of required number of samples is 1,910 (this is slightly fewer than before because the the larger number of samples allowed more accurate estimates of the variances and correlations). Since we we have already generated 2,000 samples, we do not need to perform any additional runs.

We can now calculate the posterior confidence regions for each of the parameters.

summary(mcmc.10)
#> 
#> Iterations = 1:200
#> Thinning interval = 1 
#> Number of chains = 10 
#> Sample size per chain = 200 
#> 
#> 1. Empirical mean and standard deviation for each variable,
#>    plus standard error of the mean:
#> 
#>         Mean       SD  Naive SE Time-series SE
#> alpha  1.026  0.02033 0.0004546       0.000787
#> beta  53.012 11.10534 0.2483230       0.433342
#> gamma  4.024  1.24685 0.0278804       0.046729
#> nu    54.391 11.50530 0.2572663       0.438652
#> 
#> 2. Quantiles for each variable:
#> 
#>          2.5%    25%    50%    75% 97.5%
#> alpha  0.9892  1.012  1.025  1.039  1.07
#> beta  31.1137 45.587 52.633 60.664 73.74
#> gamma  1.7500  3.000  4.000  4.750  6.75
#> nu    32.3646 46.484 54.455 61.896 76.44