
spduration implements a split-population duration model for duration data with time-varying covariates where a significant subset of the population or spells will not experience failure.
library("spduration")## Registered S3 method overwritten by 'quantmod':
## method from
## as.zoo.data.frame zoo
# Prepare data
data(coups)
dur.coups <- add_duration(coups, "succ.coup", unitID="gwcode", tID="year",
freq="year")
# Estimate model
model.coups <- spdur(duration ~ polity2, atrisk ~ polity2, data = dur.coups,
silent = TRUE)
summary(model.coups)## Call:
## spdur(duration = duration ~ polity2, atrisk = atrisk ~ polity2,
## data = dur.coups, silent = TRUE)
##
## Duration equation:
## Estimate Std. Error t value Pr(>|t|)
## (Intercept) 4.00151 0.23762 16.840 < 2e-16 ***
## polity2 0.20588 0.03037 6.779 1.21e-11 ***
##
## Risk equation:
## Estimate Std. Error t value Pr(>|t|)
## (Intercept) 6.5279 3.2556 2.005 0.0449 *
## polity2 0.8967 0.4084 2.196 0.0281 *
##
## Estimate Std. Error t value Pr(>|t|)
## log(alpha) -0.03203 0.11899 -0.269 0.788
## ---
## Signif. codes: *** = 0.001, ** = 0.01, * = 0.05, . = 0.1
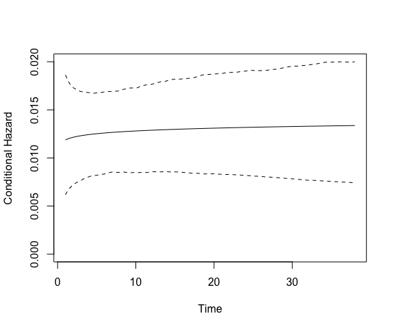
plot(model.coups, type = "hazard")
install.packages("spduration")library(devtools)
install_github("andybega/spduration")