stenR

Lifecycle: experimental codecov

stenR is a package tailored mainly for users and creators of psychological questionnaires, though other social science researchers and survey authors can benefit greatly from it.

It provides tools to help with processes necessary for conducting such studies:

  1. processing data from raw item scores to raw factor/scale scores
  2. standardization of the raw scores into standard scale of your choosing, either by:

Furthermore, tools for developing or using norms on grouped basis are also provided (up to two intertwined grouping conditions are supported).

Most in-depth information is provided within vignette Tour from data to results (for basic and verbose explanation) and less verbose but more complete in stenR usage vignette.

Installation

You can install the current version from GitHub with:

# install.packages("devtools")
devtools::install_github("StatisMike/stenR")

Usage

Data processing

Process data from item raw scores to factor/scales scores

# Exemplary data provided within package
str(SLCS)
#> 'data.frame':    103 obs. of  19 variables:
#>  $ user_id: chr  "damaged_kiwi" "unilateralised_anglerfish" "technical_anemonecrab" "temperate_americancurl" ...
#>  $ sex    : chr  "M" "F" "F" "F" ...
#>  $ age    : int  30 31 22 26 22 17 27 24 20 19 ...
#>  $ SLCS_1 : int  4 5 4 5 5 5 5 4 4 5 ...
#>  $ SLCS_2 : int  2 2 4 3 2 3 1 5 2 1 ...
#>  $ SLCS_3 : int  1 2 4 2 3 1 1 4 1 2 ...
#>  $ SLCS_4 : int  2 1 4 2 4 2 1 4 4 2 ...
#>  $ SLCS_5 : int  2 2 4 1 2 2 2 4 2 2 ...
#>  $ SLCS_6 : int  4 4 5 5 5 5 1 2 5 4 ...
#>  $ SLCS_7 : int  4 4 4 5 3 5 2 3 5 3 ...
#>  $ SLCS_8 : int  4 5 4 5 4 5 5 4 4 5 ...
#>  $ SLCS_9 : int  2 3 2 1 3 1 1 4 1 1 ...
#>  $ SLCS_10: int  4 4 3 4 4 4 5 4 5 5 ...
#>  $ SLCS_11: int  1 1 2 1 1 2 1 3 1 1 ...
#>  $ SLCS_12: int  4 2 4 3 3 2 2 4 3 1 ...
#>  $ SLCS_13: int  4 5 5 4 3 4 4 4 5 5 ...
#>  $ SLCS_14: int  2 1 3 2 4 1 1 4 1 1 ...
#>  $ SLCS_15: int  5 4 4 4 4 3 3 2 5 4 ...
#>  $ SLCS_16: int  4 5 5 4 5 4 5 5 5 5 ...

# create scale specifications
SL_spec <- ScaleSpec(
  name = "Self-Liking",
  item_names = c("SLCS_1", "SLCS_3", "SLCS_5", "SLCS_6", "SLCS_7", 
                 "SLCS_9", "SLCS_11", "SLCS_15"),
  min = 1,
  max = 5,
  reverse = c("SLCS_1", "SLCS_6", "SLCS_7", "SLCS_15")
)

SC_spec <- ScaleSpec(
  name = "Self-Competence",
  item_names = c("SLCS_2", "SLCS_4", "SLCS_8", "SLCS_10", "SLCS_12",
                 "SLCS_13", "SLCS_14", "SLCS_16"),
  min = 1,
  max = 5,
  reverse = c("SLCS_8", "SLCS_10", "SLCS_13")
)

GS_spec <- CombScaleSpec(
  name = "General Score",
  SL_spec,
  SC_spec
)

# summarize data into factors/scales
summed_data <- sum_items_to_scale(
  data = SLCS,
  SL_spec,
  SC_spec,
  GS_spec,
  retain = c("user_id", "sex")
)

str(summed_data)
#> 'data.frame':    103 obs. of  5 variables:
#>  $ user_id        : chr  "damaged_kiwi" "unilateralised_anglerfish" "technical_anemonecrab" "temperate_americancurl" ...
#>  $ sex            : chr  "M" "F" "F" "F" ...
#>  $ Self-Liking    : int  13 15 19 10 16 12 18 28 10 14 ...
#>  $ Self-Competence: int  20 15 26 19 25 17 14 28 19 13 ...
#>  $ General Score  : int  33 30 45 29 41 29 32 56 29 27 ...

Create FrequencyTable, ScoreTable for normalization

Generate norms from raw data to normalize and standardize results

GS_ft <- FrequencyTable(summed_data$`General Score`)
#> ℹ There are missing raw score values between minimum and maximum raw scores.
#>   They have been filled automatically.
#>   No. missing: 13/53 [24.53%]
plot(GS_ft)

GS_st <- ScoreTable(GS_ft, scale = STEN)
plot(GS_st)

normalized_GS <- normalize_score(
  summed_data$`General Score`,
  table = GS_st,
  what = "sten"
)

normalized_data <- normalize_scores_df(
  data = summed_data,
  vars = "General Score",
  GS_st,
  what = "sten",
  retain = c("user_id", "sex")
)

str(normalized_GS)
#>  num [1:103] 4 3 6 3 5 3 4 8 3 2 ...
str(normalized_data)
#> 'data.frame':    103 obs. of  3 variables:
#>  $ user_id      : chr  "damaged_kiwi" "unilateralised_anglerfish" "technical_anemonecrab" "temperate_americancurl" ...
#>  $ sex          : chr  "M" "F" "F" "F" ...
#>  $ General Score: num  4 3 6 3 5 3 4 8 3 2 ...

Create GroupedFrequencyTable and GroupedScoreTable

Generate norms for different groups on basis of up to two GroupConditions objects

sex_grouping <- GroupConditions(
  conditions_category = "Sex",
  "M" ~ sex == "M",
  "F" ~ sex == "F",
  "O" ~ sex == "O"
)

GS_gft <- GroupedFrequencyTable(
  data = summed_data,
  conditions = sex_grouping,
  var = "General Score",
  .all = FALSE
)
#> ℹ There are missing raw score values between minimum and maximum raw scores for
#>   some groups. They have been filled automatically.
#> • M No. missing: 25/42; 59.52%
#> • F No. missing: 15/47; 31.91%
#> • O No. missing: 33/37; 89.19%
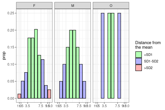
plot(GS_gft)

GS_gst <- GroupedScoreTable(GS_gft, scale = STEN)
plot(GS_gst)

grouping_normalized <- normalize_scores_grouped(
  data = summed_data,
  vars = "General Score",
  GS_gst,
  retain = c("user_id", "sex"),
  what = "sten",
  group_col = "Group"
)

str(grouping_normalized)
#> Classes 'data.table' and 'data.frame':   103 obs. of  4 variables:
#>  $ Group        : chr  "M" "F" "F" "F" ...
#>  $ user_id      : chr  "damaged_kiwi" "unilateralised_anglerfish" "technical_anemonecrab" "temperate_americancurl" ...
#>  $ sex          : chr  "M" "F" "F" "F" ...
#>  $ General Score: num  3 4 6 3 5 3 4 9 3 3 ...

Create and export ScoringTable

Export generated norms in universal format

ST_csv <- tempfile(fileext = ".csv")
GS_scoring <- to_ScoringTable(
  table = GS_gst,
  min_raw = 16,
  max_raw = 80
)

export_ScoringTable(
  table = GS_scoring,
  out_file = ST_csv,
  method = "csv"
)
#> Warning: <GroupConditions> haven't been exported. To export them with csv method, please
#> provide the `cond_file` argument

Create ScoringTable from csv or json file

Import ScoringTable from universally readable formats (eg. create csv on basis of published norms)

"sten","M","F","O"
1,NA,"16-22",NA
2,"16-32","23-26",NA
3,"33-36","27-29","16-35"
4,"37-40","30-37",NA
5,"41-47","38-41","36-63"
6,"48-51","42-47","64-68"
7,"52-58","48-49",NA
8,"59-71","50-55","69-80"
9,"72-80","56-59",NA
10,NA,"60-80",NA
imported <- import_ScoringTable(
  source = ST_csv,
  method = "csv",
  conditions = sex_grouping
)

scoring_normalized <- normalize_scores_scoring(
  data = summed_data,
  vars = "General Score",
  imported,
  retain = c("user_id", "sex"),
  group_col = "Group"
)

str(scoring_normalized)
#> 'data.frame':    103 obs. of  4 variables:
#>  $ user_id      : chr  "damaged_kiwi" "unilateralised_anglerfish" "technical_anemonecrab" "temperate_americancurl" ...
#>  $ sex          : chr  "M" "F" "F" "F" ...
#>  $ Group        : chr  "M" "F" "F" "F" ...
#>  $ General Score: num  3 4 6 3 5 3 4 9 3 3 ...