streamDepletr

streamDepletr is an R package with functions for assessing the impacts of groundwater pumping on streams. There are two primary categories of functions:

Combined, these functions will allow the user to estimate the impacts of an existing or proposed well (or group of wells) on individual stream reaches within a stream network.

Installation

You can install streamDepletr from CRAN: install.packages("streamDepletr")

Alternately, you can use devtools to install the development version:

devtools::install_github("FoundrySpatial/streamDepletr", build_vignettes=T)

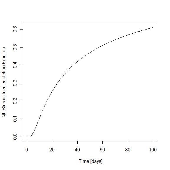
Example

Calculate and plot streamflow depletion as a fraction of the pumping rate (Qf) over the 100 days of pumping:

require(streamDepletr)
#> Loading required package: streamDepletr

# calculate depletion fraction
Qf <- glover(t  = seq(1,100),     # timesteps to evaluate
             d  = 150,            # well to stream distance
             S  = 0.10,           # specific yield
             Tr = 50*1e-5*86400)  # 50 m thick aquifer with hydraulic conductivity of 1e-5 m/s

# plot
plot(seq(1,100), Qf, type="l", xlab="Time [days]", ylab="Qf, Streamflow Depletion Fraction")

For more examples, please check out the package vignette:

browseVignettes("streamDepletr")

Package Development

streamDepletr was developed by Foundry Spatial Ltd. and the University of Victoria with support from the National Sciences and Engineering Research Council of Canada.